NRs e Trabalho em altura.
As Normas Brasileiras tratam do assunto “Trabalho em Altura” de forma muito pouco didática e de certo modo confuso, pois são diferentes normas abordando o assunto cada uma detalhando um tópico ou ponto importante.
As Normas que versam sobre o assunto no Brasil são:
NR 35 – TRABALHO EM ALTURA
NR 18 – CONDIÇÕES E MEIO AMBIENTE DE TRABALHO NA INDÚSTRIA DA CONSTRUÇÃO
NR 34 – CONDIÇÕES E MEIO AMBIENTE DE TRABALHO NA INDÚSTRIA DA CONSTRUÇÃO E REPARAÇÃO NAVAL
NR 22 – SEGURANÇA E SAÚDE OCUPACIONAL NA MINERAÇÃO
NR 29 – SEGURANÇA E SAÚDE NO TRABALHO PORTUÁRIO
Legislação no Brasil
Artigo 19 da Lei nº 8.213 de 24 de julho de 1991
- § 1º A empresa é responsável pela adoção e uso das medidas coletivas e individuais de proteção e segurança da saúde do trabalhador.
- § 2º Constitui contravenção penal, punível com multa, deixar a empresa de cumprir as normas de segurança e higiene do trabalho.
- § 3º É dever da empresa prestar informações pormenorizadas sobre os riscos da operação a executar e do produto a manipular
NR35 – Trata o assunto específico de trabalho em altura
É subdividida nos capítulos
35.1 – Objetivo e campo de aplicação
35.2 – Responsabilidades
35.3 – Capacitação e treinamento
35.4 – Planejamento, organização e execução.
35.5 – Equipamento de proteção individual, acessórios e sistema de ancoragem
35.6 – Emergência e salvamento
Anexo I – Acesso por cordas
Quem está procurando informações sobre requisitos básicos para construção de linha de vida, vai encontrar no item 35.5 .4, que estabelece que linha de vida deve:
- Ser selecionado por profissional legalmente habilitado
- Ter resistência para suportar a carga máxima aplicável
- Ser inspecionado quanto sua integridade antes da sua utilização.
NR 18 – Que aborda o assunto no âmbito da construção Civil.
Estabelece que:
18.15.56.1 – As edificações com no mínimo quatro pavimentos ou altura de 12 m (doze metros), a partir do nível do térreo, devem possuir previsão para a instalação de dispositivos destinados à ancoragem de equipamentos de sustentação de andaimes e de cabos de segurança para o uso de proteção individual, a serem utilizados nos serviços de limpeza, manutenção e restauração de fachadas. (Alteração dada pela Portaria SIT 318/2012)
18.15.56.2 – Os pontos de ancoragem devem:
- a) estar dispostos de modo a atender todo o perímetro da edificação;
- b) suportar uma carga pontual de 1.500 Kgf (mil e quinhentos quilogramas-força); suportar uma carga pontual de 1.200 Kgf (mil e duzentos quilogramas-força); (Alteração dada pela Portaria SIT 318/2012)
18.16.2.1 – Os cabos de aços devem ter carga de ruptura equivalente a, no mínimo, 5 (cinco) vezes a carga máxima de trabalho a que estiverem sujeitos e resistência à tração de seus fios de, no mínimo, 160 kgf/mm² (cento e sessenta quilogramas-força por milímetro quadrado). (Incluído pela Portaria SIT n.º 13, de 9 de julho de 2002)
A NR 34 aborda o mesmo assunto do ponto de vista da construção Naval
Parece ser uma norma mais abrangente considera por exemplo uso de plataformas como trabalho em altura coisa que a NR35 não trata entre outras coisas.
Conclusão:
Agora dá para entender porque existe esta total falta de padronização e de critérios na construção de linhas de vida, algumas verdadeiras aberrações.
Projeto de linha de vida considerando normas NRs Brasileiras
AS linhas de vida horizontais deverão ser concebidas, instaladas e usadas sob a supervisão de uma pessoa qualificada, como parte de uma completa sistema anti-queda pessoal projeto deve considerar um fator de segurança de pelo menos 5 (FS=5) para dimensionamento dos cabos de aço pois segundo a NR 18 item 18.16.2.1 – Os cabos de aços devem ter carga de ruptura equivalente a, no mínimo, 5 (cinco) vezes a carga máxima de trabalho a que estiverem sujeitos e resistência à tração de seus fios de, no mínimo, 160 kgf/mm2 (cento e sessenta quilogramas-força por milímetro quadrado). (Incluído pela Portaria SIT n.º 13, de 9 de julho de 2002)
Observação importante:
Já vi muita gente interpretando errado esta norma e tomando a seguinte decisão; uma linha de vida dimensionada para 4 pessoas adotou erroneamente o cálculo de um cabo de aço para:
Considerou.
- Peso de uma pessoa 100 kg
- Fator de Segurança (FS) = 5
Então:
Dimensionamento do aço foi considerado conforme segue: 5 x 100 x 4= 2.000 kgf
dimensionamento do cabo de aço da linha de vida
- Primeiro passo é determinar a força de reação horizontal do cabo de aço
As forças de reação na ancoragem dependem do ângulo que o cabo fará com uma linha imaginaria horizontal, a força horizontal será sempre maior que a força na vertical.
O Esforço na linha vai depender do Peso do Indivíduo e de sua atura de queda em relação a linha de vida.
A Energia da queda Energia (mgh), vai ser absorvida pelo cabo de aço, gerando um impacto sobre o mesmo toda a estrutura de sustentação. O Cabo de aço sofre uma deformação elástica. O cinto de segurança também sofre uma deformação elástica e talabarte e o absorvedor de energia do cinto também.
O pesquisador Sulowski levando em consideração todos estes pontos, apresenta uma solução matemática para estas questões, apresentando uma fórmula determinada de modo experimental para o cálculo da força máxima de impacto, combinando trabalhos de pesquisa teóricos e dados experimentais.
Ele simula várias quedas e mede com uma célula de carga o impacto de diferentes alturas e define uma equação para a força de impacto da queda cuja equação proposta por Sulowski é:
Onde:
F = Força de Impacto em Newtons (N)
m = massa do trabalhador e roupas + massa das ferramentas + massa dos EPIs (kg)
K = Modulo da corda (N)
f = Fator de queda H/L
H = Altura de queda livre (m)
L= Comprimento do Talabarte (m)
a = Fator de redução do trava quedas
b = Fator de redução do Cinto de Segurança (1)
s = Fator de redução do absorvedor de queda (80% a 70% redução)
c = Fator de Conversão corpo ´rígido/ manequim
Cálculo da energia da queda para:
Queda de um executante pesando 99 quilos, caindo de uma altura de 1,82 metros, utilizando cinto de segurança tipo paraquedista com talabarte de 1,5 metros e absorvedor de energia acoplando a uma linha de vida.
Utilizando a equação de Sulowski podemos concluir que o individuo foi capturado pela linha de vida com uma força sobre o cabo de aço de 455 kgf
Ver cálculo no post – Dinâmica da Queda -Impactos sobre o trabalhador e a linha de vida
Link – http://consultoriaengenharia.com.br/seguranca-ocupacional/dinamica-da-queda-trabalho-em-altura/#more-71405
Projeto da linha de vida segundo NRs
Suponhamos que o vão da linha que vamos projetar tenha um comprimento de 10 metros, vamos supor que vamos utilizar um cabo de aço no vão com comprimento em balanço de 10,1 metros.
Lembre quando você está projetando uma linha de vida que tenha limites de zona livre de queda, quanto mais esticada tiver que ser a linha maior será a tensão na ancoragem porque você tem que limitar a distância da queda.
Então temos:
C= Comprimento do Vão
L = comprimento do Cabo
F = flecha
Determinando esforços envolvidos, para tal seccionamos a linha no meio, já que as reações e esforços serão iguais em ambos os lados:

Então temos:
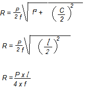
(C/2) ²+ (f) ² = (l/2) ² ……………(1)
(C/2) x (P/2) = (f) x (Rx) ……….(2)
Rx = (P x C) / 4f
R² = (Rx) ² + (P/2) ² ………..(3)
R² = [(P x C) / 4f] ² + (P/2) ²

Em relação ao problema proposto temos:
Comprimento do Vão
C= 10 m
Comprimento do cabo em balanço
l = 10,1
Dados que (f)² = (10,1/2)² – (10,0/2)²
Calculamos a flecha
f = 0,708 m
Então:
R= (455 x 10,1)/(4 x 0.708)
R = 1.622 Kgf
A NR 18 item 18.16.2.1 – Estabelece que os cabos de aços devem ter carga de ruptura equivalente a, no mínimo, 5 (cinco) vezes a carga máxima de trabalho a que estiverem sujeitos e resistência à tração de seus fios de, no mínimo, 160 kgf/mm2 (cento e sessenta quilogramas-força por milímetro quadrado).
Então o cabo de aço deve ter tensão de ruptura maior que 8.113,0 kgf
Temos que escolher o cabo de aço que atenda estas condições e temos que recalcular o sistema considerando alongamento do cabo pela Carga de Trabalho considerando e energia da queda!
Convencionalmente os cabos de aço podem ser fabricados em algumas categorias de resistência à tração, a saber:
Plow Steel – Arames com tensão de ruptura de 1570 N/mm² = 160 kgf/mm²
Improved Plow Steel – Arames com tensão de ruptura de 1770 N/mm² = 180 kgf/mm²
Extra Improved Plow Steel – Arames com tensão de ruptura de 1960 n/mm² = 200 kgf/mm²
Então vamos escolher o cabo de aço que satisfaça as duas condições:
Ter carga de ruptura acima de 8113 kgf e ser construído com arames classe Plow Steel ou superior;

Neste caso escolhemos um cabo de aço com alma de aço – 6×19 Seale com diâmetro de 11,5 mm e carga de ruptura de 9.300 kgf.
Atenção:
Temos que recalcular a flecha considerando o alongamento do cabo no momento da queda, isto vai permitir calcular a distância livre de queda.
Este é um assunto para outro post.
Atenção este post tem a intenção de informar os profissionais da área de segurança visando reduzir erros no projeto e instalação da linha de vida
Nenhum profissional não habilitado profissionalmente deve e pode projetar linha de vida.
A Montagem da linha de vida deve ser feita por profissional habilitado.
Antes da liberação formal da linha de vida, deve ser checado rigorosamente se a execução seguiu o que foi estabelecido no projeto.
Ver Post – Erros que podem ser Fatais na Construção da Linha de Vida –
Link http://consultoriaengenharia.com.br/seguranca-ocupacional/erros-que-podem-ser-fatais-na-construção-da-linha-de-vida/#more-71523
Todos os componentes da linha de vida devem estar projetados considerando a carga de ruptura do cabo, atentem que outras complexidades de projeto precisam ser consideradas, dimensionamento com torção e flexão nos pontos de ancoragem, cisalhamento etc.

Nosso objetivo é Salvar Vidas
