Não Existe Acidente Zero e Nenhum Sistema com Falha Zero no Universo
Vocês já devem ter ouvido muitas empresas apregoarem que acreditam no “Acidente Zero”, que acidente Zero e ou dano Zero é possível, mas ninguém ou nenhuma empresa que faz tal afirmativa conhece bem como o acidente se comporta no tempo, algumas destas empresas têm em média mais de 10 fatalidades por ano no seu negócio, quando fazem tal afirmação, esta soa hipocrisia, ou não estão fazendo o esforço suficiente!
Na verdade, o que tenho observado é que as empresas em relação à segurança dedicam mais tempo a se precaver contra uma possível ação judicial do que efetivamente procurar conhecer o processo de segurança e risco que seus empregados estão expostos.
As empresas de modo geral com raras exceções se dedicam a escrever documentação e padrões que estão longe de serem executados por seus empregados como forma de documentalmente precaverem contra qualquer ação judicial que venha ocorrer em caso de fatalidade.
Não vou entrar no mérito se do ponto de vista do negócio estão erradas ou não, mas vocês gestores de segurança devem dedicar tempo e recursos para aquilo que é realmente importante e eficaz.
Eu sou capaz de afirmar que nenhuma empresa que não tenha identificado os riscos de fatalidades ligadas as suas atividades e elaborado plano de mitigação de acidente fatal realmente eficaz, está fazendo segurança.
Dedicam muito tempo em elaborar padrões e treinar pessoas em padrões que são meios poucos eficazes de garantir a segurança, deveria ser meios utilizados somente como últimos recursos e não como principal meio de mitigação de risco como acontece na maioria das empresas.
Hoje vamos dedicar tempo a esclarecer como o acidente acontece, qual é o comportamento do acidente no tempo em função da exposição e taxa de falha de cada negócio.
Acidentes com baixo Potencial de Severidade
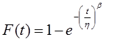
Acidentes com baixo potencial de Severidade, sejam eles pessoais, acidentes materiais e quase acidentes quando analisados em um período longo de 3 a 5 anos utilizando-se softwares de confiabilidade sempre são adequadamente representados por uma distribuição Weibull Tripla, vocês podem checar esta minha afirmação, basta recolher o histórico de todos acidentes num período de 3 a 5 anos que vocês vão observar que não terá outra distribuição mais adequada a descrever tal comportamento do que uma Weilbull Tripla (veja distribuição abaixo)

Olhando então uma equação matemática para uma distribuição Weibull é:
Equação da distribuição Weibull

Onde é F= Função da probabilidade no tempo
t= tempo
η = vida característica
Vamos ver em que condições a probabilidade de acidente é matematicamente “zero”
- Considerando a variável tempo.
A equação acima vai ter F(t) igual a “Zero”, quando (t/η)=0
Para ser igual a zero temos duas condições:
- – Para um Tempo igual a “Zero”, isto quer dizer que num tempo muito curto as possibilidades de ficar sem acidentes são elevadas e a medida que o tempo vai passando a probabilidade do acidente vai aumentando exponencialmente.
- – Para uma vida característica “η” infinita
Neste que o comportamento dos acidentes de baixa severidade possa ser “Zero” temos que atender uma de duas condições,
- – Tempo infinitamente curto ou igual a Zero, em outras palavras a probabilidade do acidente é exponencial ao tempo, ou seja o tempo vai passando e a probabilidade de ocorrência do acidente vai aumentando.
- – Para η = vida característica infinitamente longa, ou seja, uma vida infinita.
Não é possível em nenhum local do universo existir vida caraterística infinita, podemos sim ter uma vida caraterística tão longa que venhamos a estar entre as taxas de falha (acidentes) aceitáveis do mundo de hoje! Vamos falar logo adiante sobre elas!
Acidente Fatal Zero é possível?
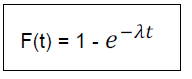
Se você pegarem o histórico de longo prazo de um negócio vão ver que o acidente fatal segue um comportamento que pode ser descrito matematicamente como exponencial no tempo! Ou seja, a medida que o tempo passa a probabilidade de fatalidade vai também aumentando.
Veja equação da Probabilidade de Fatalidade:

Probabilidade de Fatalidade Zero só é possível quando a taxa de falha for “Zero” ou num período de tempo muito próximo de zero, neste caso:
Onde:
![]()

Vamos então listar algumas taxas de falhas de domínio público para cálculo de probabilidade.



Alguém pode estar pensando agora, como o acidente é inevitável no longo prazo eu não posso fazer nada!
Grande engano! Estamos tão distantes de um nível de acidentes considerado aceitável do ponto de vista do risco que é de 10 fatalidades por milhão de pessoas expostas por ano, que me arrisco a dizer que no Brasil temos um longo caminho ainda a percorrer!
Vamos então a um exemplo mostrando duas performances diferentes:
Calculando a Probabilidade de Fatalidade por exemplo em uma Mineração na Austrália que tenha 3.000 empregados
Probabilidade de Fatalidade num período de um ano é:


Calculando Probabilidade de Acidente Fatal trabalhando em Mineração nos USA para os uma empresa com 3.000 empregados.

Então é só olhar os gráficos que fica claro que taxas de falhas diferentes produzem uma significativa diferença no resultado.
O único caminho que temos para melhorar performances é dedicar tempo na redução das taxas de falha através de um programa de gestão de risco de fatalidades, identificando grupos de risco e priorizando implantação de ações contundentes para mitigação, nada de ficar descrevendo padrões que nunca serão lidos e executados.
Sabemos que a efetividade da Mitigação do Risco com consequente Redução da taxa de Falha, segue seguinte hierarquia :
- Eliminação do Risco eliminando o perigo – Redução de 100% do Risco
- Eliminação da Exposição – Redução de 100% do Risco
- Redução da Exposição – Redução Proporcional
- Uso de Dispositivos de Engenharia – Redução de até 90% do Risco
- Adoção de Padrões Mínimos (*) – Redução de até 50% do Risco
- Adoção de Padrões /Treinamento etc. – Redução de até 30% do Risco
(*) Padrões Mínimos são aqueles que são gerenciados com rigor com demissão dos que burlam o padrão!
A Decibel vem dedicando tempo em estudar e dar consultoria para redução das taxas de fatalidades em qualquer tipo de negócio, temos hoje catalogados mais de 10.000 acidentes, estamos preparados para aumentar suas chances de sucesso quando o assunto é risco de fatalidade e a implantação de programas de redução de risco de fatalidades, temos soluções técnicas e de engenharia eficazes para redução destes riscos!
Nosso Objetivo é Salvar Vidas!
