Em relação ao risco de acidentes de explosão com vasos de pressão, a pergunta principal que normalmente deve ser feita por um engenheiro de segurança é; A partir de que pressão e volume de gás estocado representa risco ocupacional?
O Departamento de Energia dos Estados Unidos estabeleceu em 2007 os critérios para gestão deste risco através do “Code of Federal Regulations (10 CFR 851)”.
O Pacific Northwest National Laboratory implementou uma abordagem gradativa para a segurança do sistema de pressão com base no nível de risco associado a várias categorias de sistemas de pressão para estar em conformidade com o regulamento acima citado.
Portanto, PNNL estabeleceu um nível de sistema de pressão com base na energia armazenada, o que representa risco ocupacional no âmbito do PNNL durante as operações.
Vimos no Post – https://consultoriaengenharia.com.br/confiabilidade-e-risco/introducao-ao-risco-de-acidente-com-explosao-em-vasos-de-pressao/, que energia armazenada tem sido usada pelo PNNL como base para o reconhecimento de um risco de pressão significativo do ponto de vista ocupacional.
Vimos também que o limite existente no PNNL é 1.000 lbf-pés de energia armazenada. Abaixo deste limite, são mínimos os requisitos e nenhuma aprovação formal é necessária.
Então neste Post vamos ver como calcular a energia armazenada em vasos de pressão pressurizados.
2 – Determinação da Energia liberada em uma explosão de vasos para gases ideais.
Há Vários Modelos e formulas para determinação da Energia Gerada na Explosão de vasos sendo duas mais utilizadas.
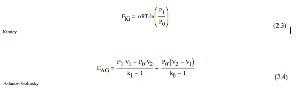
Lees «Secção 17.4.5 discute explosão de vasos para gases ideais. Quatro equações separadas (2,1-2,4) desta seção e sua validade para a expansão de gás comprimido são discutidas abaixo:
Equação de Brode que qdo comparadas com as expressões existentes para cálculo da energia das explosões, são recomendadas por Strehlow e Ricker (1976) e do Centro de Química de Segurança de Processo (1994-1915). Brode (2.1)

A principal alternativa é a equação a Equação de Brode acima é a Equação de Baker (2.2), temos que a ASME PCC-2, o artigo 5.1, Apêndice II -(2008) utiliza uma forma de Baker para calcular a energia armazenada para teste de pressão pneumática.

Hand-book Lees ‘ 17,6 e os estados de discussão associados “… os valores obtidos pelas outras expressões (Nota do Autor: As equações 2.3 e 2.4 acima) tendem para uso da equação Brode a pressões que chega a valores mais elevados … (Lees, 2005)

Onde
Ex = Energia
k1 or k = Tx de calor específico na pressão atmosférica
k0 = Tx de calor nas condições
P1 = Pressão do gás
P0 = Pressão ambiente
V = Volume
n = Número de Moles
R = Constante do gás
T = Temperatura
A equação de Brode é a mais utilizada e atende com efetividade nosso objetivo de determinação da energia potencial de explosão apara fins ocupacionais.
Como Exemplo vamos calcular a Energia armazenada em Dois tipos de Pneus, estou escolhendo esta abordagem porque temos um risco de fatalidades envolvido nas atividades de Borracharia que é muito negligenciada.
2.1 Calculando Energia Gerada pela Explosão de Pneu de Caminhão Rodoviário caçamba com Pneu Michelin Modelo 325/94. R24 9 (mais comum existente no Mercado)
Dados:
P0= 15psi
P1= 112 Psi
Volume = 10.904,88
k = Tx de calor específico = 1,4 ( Ver tabela 1)
Utilizando equação de Brode:
E Br = ((112-15)*10.904,88)/(1,4-1)
E br= 2.644.434 lb inch
E br = 220.370 lb ft
E br= 298.806 joules
E Br = 298.806 Kg m² s² (*)
(*) – Isto equivale a um peso de 3.000 kg caindo de uma altura de 10 metros
Logo a energia armazenada num pneu de caminhão rodoviário é capaz de matar uma pessoa, acho que não resta dúvidas disso!
Agora vcs tem informação para calcular Energia Potencial de todos os vasos de pressão de seu local de trabalho!
Razão de calor específico do ar na pressão atmosférica padrão em unidades imperiais (BG)
TABELA.1

Nosso objetivo é Salvar vidas
Dúvidas – [email protected]
